Direkt zum Inhalt
|
Direkt zur Navigation
Benutzerspezifische Werkzeuge
Anmelden
Kontakt
Website durchsuchen
nur im aktuellen Bereich
Erweiterte Suche…
Sektionen
Startseite
Berichte
Jahrestreffen
Praxis
Literatur
Impressionen
Entwicklung der Mittelgebirgswellen-Initiativen
Gästebuch
Facebook
Nachrichten
"Off topic": Foka
Sie sind hier:
Startseite
/
Jahrestreffen
/
2011 Hannover
/
ProfEtling
/
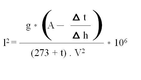
Wellenzahl.jpg
Info
Wellenzahl.jpg
erstellt von
Jörg Dummann
—
zuletzt verändert:
05.12.2011 18:07
Bild in Originalgröße
12 KB
|
Anzeigen
Download
Artikelaktionen
Drucken
Navigation
2026 Göttingen
2025 Braunschweig
2024 Hannover
2023 Göttingen
2020 Braunschweig
2019 Hannover
2018 Braunschweig
2017 Hannover
2016 Göttingen
2016 Bensheim
2015 Hannover
2014 Göttingen
2013 Hannover
2012 Göttingen
2011 Hannover
IMUK_Logo
Auditorium
Erland
Ralf
Carsten
Rene
Christof
Rickmer
ProfEtling
Prof. Etling
Tafel_FB.jpg
ProfEtling2.jpg
Diskussion
Wellenzahl.jpg
Temperaturgefälle.jpg
Joerg
Florian
MD000717Kl.jpg
MD000724Kl.jpg
Promet.jpg
WMO1038.jpg
WMO_No_1038_overview.pdf
Vortrag Prof. Etling
Wellentank
2010 Göttingen
2027 Hannover