Direkt zum Inhalt
|
Direkt zur Navigation
Benutzerspezifische Werkzeuge
Anmelden
Kontakt
Website durchsuchen
nur im aktuellen Bereich
Erweiterte Suche…
Sektionen
Startseite
Berichte
Jahrestreffen
Praxis
Literatur
Impressionen
Entwicklung der Mittelgebirgswellen-Initiativen
Gästebuch
Facebook
Nachrichten
"Off topic": Foka
Sie sind hier:
Startseite
/
Berichte
/
2023
/
22.10.2023 / SW (Harz / Wesergebirge-Schaumburgwelle / Ith-Voglerwelle)
/
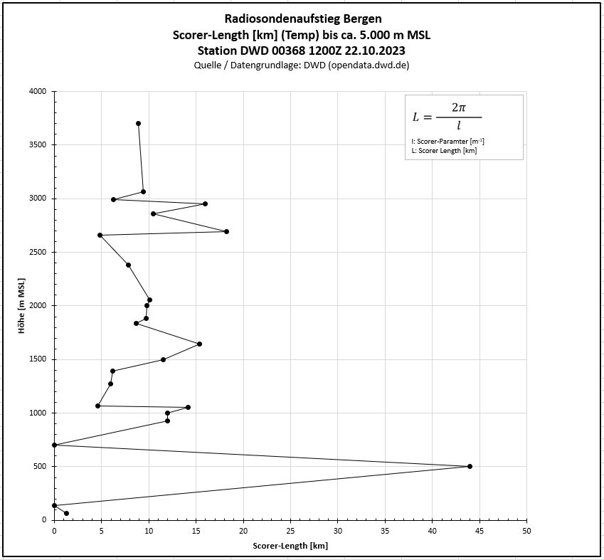
Std2024102212ScoLen.JPG
Info
erstellt von
Jörg Dummann
—
zuletzt verändert:
06.10.2024 11:09
Bild in Originalgröße
64 KB
|
Anzeigen
Download
Artikelaktionen
Drucken
Berichte
Fein2024102212Temp.JPG
Fein2024102212TempPot.JPG
Fein2024102212VWind.JPG
Fein2024102212RWind.JPG
Std2024102212BV.JPG
Std2024102212SDauer.JPG
Std2024102212Sco.JPG
Std2024102212ScoLen.JPG
Fein2024102212StatLen.JPG
Fein2024102212RelFeuchte.JPG