Direkt zum Inhalt
|
Direkt zur Navigation
Benutzerspezifische Werkzeuge
Anmelden
Kontakt
Website durchsuchen
nur im aktuellen Bereich
Erweiterte Suche…
Sektionen
Startseite
Berichte
Jahrestreffen
Praxis
Literatur
Impressionen
Entwicklung der Mittelgebirgswellen-Initiativen
Gästebuch
Facebook
Nachrichten
"Off topic": Foka
Sie sind hier:
Startseite
/
Berichte
/
2023
/
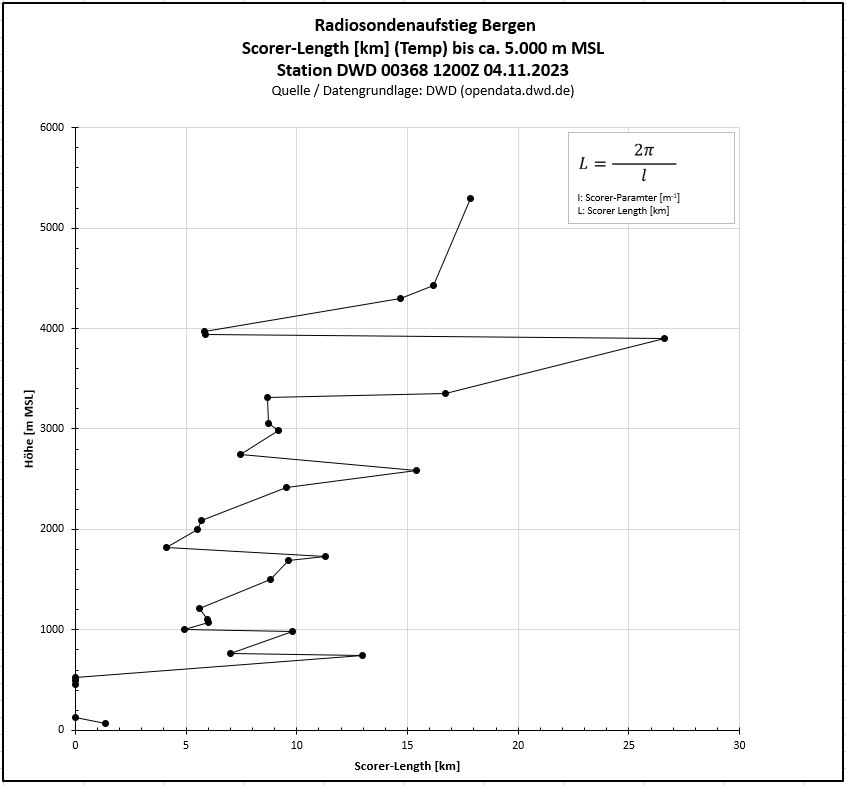
04.11.2023 / S (Harz)
/
23110412ScoLenStd5000.JPG
Info
erstellt von
Jörg Dummann
—
zuletzt verändert:
07.10.2024 18:13
Bild in Originalgröße
59 KB
|
Anzeigen
Download
Artikelaktionen
Drucken
Berichte
23110412tempfein5000.JPG
23110412tempPotfein5000.JPG
23110412VWindfein5000.JPG
23110412RWindfein5000.JPG
23110412RelFeuchtefein5000.JPG
23110412StatLenfein5000.JPG
23110412StatLenfein10000.JPG
23110412Ausbrfein5000.JPG
23110412BVStd5000.JPG
23110412SPeriodStd5000.JPG
23110412ScoStd5000.JPG
23110412ScoLenStd5000.JPG